Introduction to Exponentiation and Binary Exponentiation:
Binary exponentiation, also known as exponentiation by squaring, is a technique used to efficiently compute large powers of a number modulo another number. It is particularly useful in computer science and cryptography where large numbers are involved.
What is Binary Exponentiation?
Binary Exponentiation or Exponentiation by squaring is the process of calculating a number raised to the power another number (AB) in Logarithmic time of the exponent or power, which speeds up the execution time of the program.
NORMAL EXPONENTIATION:
36=3X3X3X3X3X3
36=9X3X3X3X3
36=27X3X3X3
36=81X3X3
36=243X3
36=729
Number of iterations to calculate 36 was 6 complexity O(n) where n is the power of base 3.
BINARY EXPONENTIATION:
36 = (32)3
36=(9)3
36=(9)2X9
36=81X9
36=729
Number of iterations to calculate 36 was 3 complexity O(log(n)) where n is the power of base 3.
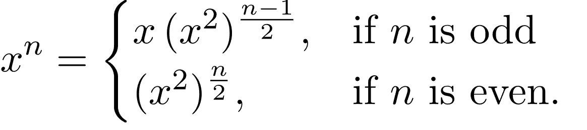
GENERAL FORMULA OF BINARY EXPONENTIATION

C++ code for binary exponentiation both iterative and recursive
#include <iostream>
using namespace std;
// Iterative approach
long long binary_exponentiation_iterative(long long base, long long exponent) {
long long result = 1;
while (exponent > 0) {
if (exponent & 1) // Check if current bit of exponent is set
result *= base;
base *= base;
exponent >>= 1; // Shift exponent to the right by 1 bit
}
return result;
}
// Recursive approach
long long binary_exponentiation_recursive(long long base, long long exponent) {
if (exponent == 0)
return 1;
long long temp = binary_exponentiation_recursive(base, exponent / 2);
long long result = temp * temp;
if (exponent % 2 == 1)
result *= base;
return result;
}
int main() {
long long base = 5;
long long exponent = 13;
cout << "Iterative result: " << binary_exponentiation_iterative(base, exponent) << endl;
cout << "Recursive result: " << binary_exponentiation_recursive(base, exponent) << endl;
return 0;
}
Modulo arithmetic in binary exponentiation
Lets say we have a number of order 1018 and modulo also having value 1018+7 now for our binary exponentiation we have to multiply two values of order 1018 which is the nearly largest range of values in c++ so multiplying two values of order 1018 will give us a number of order 1036 which cannot be stored by any data type in c++ giving an overflow error(largest value storing data type has range nearly 1019 in c++) here the problem arises how are we going to mod it?
Long long a=(1018X1018)%mod gives overflow error will return trash value
To deal with this problem we have yet another technique called binary multiplication using the math here is.
If c=102
Then we can write c also like this
c = 10+10+10+10+10+10+10+10+10+10
now applying this same technique in above problem we have
a is of order 1018
if we need to multiply aXa
we can write it like this a+a+a+a+a……………………..+a
now (a+a)=2X1018 we can do the mod of this number without getting any trash value and overflow errors.
(ab%mod)=(a%mod)b%mod
So if we do mod each time after calculating the sums of a it would not have any effect on our final answer.
Since we have done binary multiplication + binary exponentiation the time complexity of our code turns out to be O(log power X log a) hence can be written simply as O((log(t))2).
C++ code for applying binary multiplication in binary exponentiation and to calculate mod
// Source Code Here
#include <iostream>
using namespace std;
// Function to perform binary multiplication
long long binaryMultiply(long long a, long long b, long long mod) {
long long result = 0;
a %= mod;
while (b) {
if (b & 1)
result = (result + a) % mod;
a = (2 * a) % mod;
b >>= 1;
}
return result;
}
// Function to perform binary exponentiation with modulo
long long binaryExponentiation(long long base, long long power, long long mod) {
long long result = 1;
base %= mod;
while (power > 0) {
if (power & 1)
result = binaryMultiply(result, base, mod);
base = binaryMultiply(base, base, mod);
power >>= 1;
}
return result;
}
int main() {
long long base, power, mod;
cout << "Enter base: ";
cin >> base;
cout << "Enter power: ";
cin >> power;
cout << "Enter modulo value: ";
cin >> mod;
long long result = binaryExponentiation(base, power, mod);
cout << "Result of (" << base << "^" << power << ") % " << mod << " = " << result << endl;
return 0;
}
Use Cases of Binary Exponentiation in Competitive Programming:
-
Matrix multiplication
-
Fast calculation of n th Fibonacci number
-
Compute a large number modulo
-
Apply permutations of a given sequence large number of times
Practice problem set for binary exponentiation:
(do it in log n complexity)
-
https://www.geeksforgeeks.org/problems/geometric-progression3042/1
-
https://www.geeksforgeeks.org/problems/matrix-exponentiation2711/1
-
https://www.geeksforgeeks.org/problems/leftmost-divisor3822/1
-
https://www.geeksforgeeks.org/problems/ncr-mod-m-part-10038/1
-
https://www.geeksforgeeks.org/problems/generalised-fibonacci-numbers1820/1